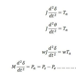
Mae Gills Blog